ในแต่ละวัน ร้านค้าออนไลน์ที่มุ่งเป้าเติบโตขยายขนาดให้ใหญ่ขึ้น ต่างต้องเผชิญกับอุปสรรคต่างๆ เรื่องราวน่าปวดหัวสารพัด เช่น ปัญหาลูกค้า ปัญหาส่งของผิดๆถูกๆ โดนว่ากล่าวจนบั่นทอนจิตใจในแต่ละวันมามากมาย ปัญหาน่าปวดหัวมากมายเหล่านี้ เรียกว่า “ผล” แต่ก่อนจะเกิดผลลัพธ์ มันต้องมี “สาเหตุ”มาก่อน เช่น เราป่วย (ผลลัพธ์) เพราะเราตากฝนทุกวัน (สาเหตุ) ซึ่งไม่มีอะไรในโลกที่เกิดขึ้นโดยปราศจากสาเหตุ
แต่การรู้ถึงสาเหตุหลักของปัญหา บางครั้งมันไม่เพียงพอในการกำจัดปัญหา เราต้องขุดรากเหง้าขุดโคนของสาเหตุขึ้นมา เพื่อขจัดให้หมดไป ดังนั้นถ้าเรามีเครื่องมือช่วยรวบรวมสาเหตุต่างๆแบบถึงรากถึงโคนเลยทีเดียว เพื่อช่วยเราจับสาเหตุได้อยู่หมัด และขจัดปัญหาได้หมดไปแบบหมดจด เรามารู้จักเจ้า “ทฤษฎีก้างปลา” หรือ ผังก้างปลา (Fish Bone Diagram) กัน
.jpg)
ทฤษฎีก้างปลา (Fish BoneTheory)” หรือ ผังก้างปลา (Fish Bone Diagram) คืออะไร ?
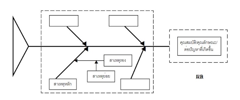
แผนผังที่จะช่วยบอกความสัมพันธ์ระหว่างสาเหตุหลัก,สาเหตุย่อย และปัญหาที่เกิดขึ้น ทำให้เรามองเห็นปัญหาทั้งใหญ่และเล็ก เป็นภาพรวมทั้งหมด ทำให้เราสามารถลงไปแก้ปัญหาได้อย่างตรงจุดทั้งปัญหาที่มองเห็นได้ชัดและปัญหาแอบแฝง ปัญหาจากฝั่งมุมมองเราและปัญหาจากฝั่งมุมมองคนอื่น เรียกได้ว่าเราจะขุดปัญหาอย่างถอนรากถอนโคนด้วยการเขียนแผนผังก้างปลาธรรมดาๆออกมาแต่ได้เห็นผลลัพธ์ที่ไม่ธรรมดา เรียกอีกชื่อว่าแผนผังอิชิกาว่า ((Ishikawa Diagram) มีที่มาจากศาสตราจารย์คาโอรุ อิชิกาว่า จากมหาวิทยาลัยโตเกียว
ปัจจุบันมีคำเรียกธุรกิจที่หมั่นพัฒนาตัวเองและเรียนรู้อยู่ตลอดเวลาว่าองค์กรแห่งการเรียนรู้ (Learning Organization :LO) การที่ร้านค้าออนไลน์เผชิญกับปัญหาตลอดเวลา และต้องแก้ไข ก็คือส่วนหนึ่งของการเรียนรู้อย่างไม่มีสิ้นสุด แต่การจะชี้ประเด็นปัญหาต่างๆออกมานั้น จำเป็นต้องมีการผังมาช่วยรวบรวมสาเหตุต่างๆ ที่ทำให้เกิดปัญหาอันน่าปวดหัวออกมา นั่นคือ ทฤษฎีก้างปลา (Fish BoneTheory)” หรือ ผังก้างปลา (Fish Bone Diagram) นั่นเอง
แผนผังนี้จะช่วยเราจัดการปัญหาอย่างไร
แผนผังนี้ใช้อย่างง่ายดาย ไม่มีความสลับซับซ้อน การที่เราฝึกใช้ผังนี้บ่อยๆ จะช่วยแม่ค้าออนไลน์ดังนี้
– สร้างระบบความคิดเราอย่างเป็นตรรกะ (Logical Thinking) : เมื่อเราวิเคราะห์ปัญหา จะทำให้เรามองสิ่งต่างๆเป็นเหตุและผลมากกว่ามองเชิงแบบฟุ้ง คิดไปเองหรือจับต้องไม่ได้
– สร้างความคิดรอบคอบ มีมุมมองเชิงกว้าง
– รวบรวมปัญหาที่กระจัดกระจายมาไว้ที่เดียวกัน : แทนที่จะ List ปัญหาออกมาหลายๆหน้า การรวมมันไว้ที่เดียวกัน เขียนออกมาเป็นแผนผัง จะช่วยให้มองเห็นภาพรวมของปัญหาทั้งหมด แถมยังรู้ปัญหาทั้งใหญ่และยิบย่อยอีกด้วย
– เข้าใจและมองในมุมของคนอื่นมากขึ้น : โดยปกติแล้วเรามักจะรู้เฉพาะปัญหาจากความรับผิดชอบของตัวเอง การเขียนผังก้างปลาจะทำให้เรามองเห็นอีกมุมมองความคิดของคนอื่น ช่วยให้เราขัดเกลาตัวเองด้วยการยอมรับการฟังคนอื่นมากขึ้น ไม่ได้มองเฉพาะมุมของเราคนเดียว เราไม่สามารถตัดสินปัญหาบางปัญหาด้วยตัวคนเดียวได้ ซึ่งการฟังคนอื่นหรือมีคนอื่นมาช่วยแสดงความคิดเห็น จะทำให้ปัญหาอื่นๆ ถูกมองเห็นขึ้นมา เราเลยสามารถแก้ไขและป้องกันได้อย่างมีประสิทธิภาพ
– แก้ปัญหาได้ตรงจุดและจัดการอย่างอยู่หมัด : การแจงปัญหาต่างๆที่เกิดขึ้น ทั้งใหญ่และเล็กออกมาทั้งหมด จะทำให้เรามองเห็นทุกๆปัญหาที่เกิดขึ้น หากไม่มีแผนผังขึ้นมา บางครั้งความคิดเราจะมองแต่ปัญหาใหญ่ จนลืมปัญหาเล็กๆแอบแฝง ซึ่งปัญหาเล็กๆเหล่านี้จะสะสมจนเป็นปัญหาใหญ่ขึ้นมาได้ หากไม่รีบมองเห็นมันเสียก่อน
วิธีการสร้างแผนผัง
สิ่งสำคัญสุดคือ ระดมความคิดเป็นทีม ประกอบด้วยส่วนสำคัญ 2 ส่วน
1.ส่วนหัวปลา : ตัวปัญหาหรือสรุปผลมาว่าสาเหตุอะไรที่กลายเป็นตัวปัญหา
2.ส่วนโครงกระดูกและก้างปลา : รวบรวมสาเหตุของปัญหาหลักๆ และแตกยิบย่อยให้กลายเป็นปัญหายิบย่อย
นิยม : วางหัวปลาไว้ข้างขวามือ ลำตัวปลาอยู่ซ้ายมือ
ปัจจุบันมีคำเรียกธุรกิจที่หมั่นพัฒนาตัวเองและเรียนรู้อยู่ตลอดเวลาว่าองค์กรแห่งการเรียนรู้ (Learning Organization :LO) การที่ร้านค้าออนไลน์เผชิญกับปัญหาตลอดเวลา และต้องแก้ไข ก็คือส่วนหนึ่งของการเรียนรู้อย่างไม่มีสิ้นสุด แต่การจะชี้ประเด็นปัญหาต่างๆออกมานั้น จำเป็นต้องมีการผังมาช่วยรวบรวมสาเหตุต่างๆ ที่ทำให้เกิดปัญหาอันน่าปวดหัวออกมา นั่นคือ ทฤษฎีก้างปลา (Fish BoneTheory)” หรือ ผังก้างปลา (Fish Bone Diagram) นั่นเอง
1.ส่วนหัวปลา : ตัวปัญหาหรือสรุปผลมาว่าสาเหตุอะไรที่กลายเป็นตัวปัญหา
2.ส่วนโครงกระดูกและก้างปลา : รวบรวมสาเหตุของปัญหาหลักๆ และแตกยิบย่อยให้กลายเป็นปัญหายิบย่อย
นิยม : วางหัวปลาไว้ข้างขวามือ ลำตัวปลาอยู่ซ้ายมือ
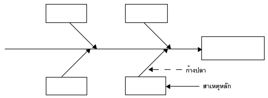
ขั้นตอนการสร้าง

1.เขียนปัญหาออกมา
ไว้ที่หัวปลา

2.เขียนกระดูกสันหลังออกมาก่อน
3. เขียนสาเหตุหลัก
หรือสาเหตุใหญ่ : ลากก้างปลาออกมา แล้วจึงเขียนสาเหตุใหญ่ๆ
4. เขียนสาเหตุยิบย่อยหรือสาเหตุเล็กๆไล่ลงไปถึงสาเหตุรากเหง้า
5.วิเคราะห์หาสาเหตุรากเหง้าเพื่อนำไปสู่การแก้ไข ป้องกันปัญหาในอนาคต
คำว่า ทฤษฎี อาจจะฟังดูเหมือนวิชาการและใช้ได้เฉพาะในห้องเรียน แต่สำหรับเครื่องมือทฤษฎีก้างปลา เป็นเครื่องมือที่วิเคราะห์ตามเหตุและผล ตามกฎธรรมชาติของโลกที่ว่า สิ่งต่างๆจะต้องเป็นไปตามเหตุตามปัจจัย และสอนให้รู้จักมองโลกตามความเป็นจริง รับรู้ปัญหาจริงๆ โดยมองถึงรากของปัญหา ซึ่งเป็นทฤษฎีที่ประยุกต์จากในห้องเรียนออกมาใช้ในโลกความเป็นจริงได้ แม่ค้าออนไลน์ที่กำลังวุ่นๆกับสารพัดอุปสรรคต่างๆ จนทำให้ร้านค้าติดขัด ก็ลองนำเครื่องมือนี้ไปใช้ดูได้เลย ใช้ได้ง่าย ไม่ยุ่งยาก มองเห็นปัญหาหลายๆจุดในภาพเดียว แถมยังสร้างความสัมพันธ์กับพนักงานฝ่ายอื่นๆ อีกด้วยนะ
……………………………………………………………………..
แชร์ประสบการณ์ฉบับแม่ค้าออนไลน์ หรือมีข้อมูลดีๆมาบอกต่อ ร่วมเม้ามอยท์ พูดคุยได้ที่นี่
สมาคมคนขายของและบริหารธุรกิจแบบมืออาชีพ by SHIPNITY
( Link : https://www.facebook.com/groups/1865849733720233/?source_id=805427532888306)

